티스토리 뷰
https://colab.research.google.com/drive/1whHb54GNZMrNxIsi2wm2EY_-Pvo2QyKh?usp=sharing
Qwen2 Vision Finetuning Unsloth - Maths OCR.ipynb
Colab notebook
colab.research.google.com
를 따라서 runpod 을 이용해서 VLM인 Qwen2vl7b를 파인튜닝 시켜봤다.
예제 코드를 좀 수정해서 1에폭 학습을 돌려봤다.
로그는 아래와 같이 나왔다.
{'loss': 1.9224, 'grad_norm': 0.7354275584220886, 'learning_rate': 4e-05, 'epoch': 0.0}
{'loss': 1.9949, 'grad_norm': 0.7466284036636353, 'learning_rate': 8e-05, 'epoch': 0.0}
{'loss': 2.1073, 'grad_norm': 0.7963176965713501, 'learning_rate': 0.00012, 'epoch': 0.0}
{'loss': 1.9014, 'grad_norm': 0.8131208419799805, 'learning_rate': 0.00016, 'epoch': 0.0}
{'loss': 1.7058, 'grad_norm': 0.7425087690353394, 'learning_rate': 0.0002, 'epoch': 0.0}
...
{'loss': 0.635, 'grad_norm': 0.31692245602607727, 'learning_rate': 2.3326335432703521e-07, 'epoch': 1.0}
{'loss': 0.6413, 'grad_norm': 0.28391313552856445, 'learning_rate': 1.866106834616282e-07, 'epoch': 1.0}
{'loss': 0.5601, 'grad_norm': 0.28126686811447144, 'learning_rate': 1.3995801259622112e-07, 'epoch': 1.0}
{'loss': 0.7063, 'grad_norm': 0.2969101071357727, 'learning_rate': 9.33053417308141e-08, 'epoch': 1.0}
{'loss': 0.6515, 'grad_norm': 0.2798303961753845, 'learning_rate': 4.665267086540705e-08, 'epoch': 1.0}
{'loss': 0.6613, 'grad_norm': 0.28529030084609985, 'learning_rate': 0.0, 'epoch': 1.0}
{'train_runtime': 8377.2666, 'train_samples_per_second': 8.199, 'train_steps_per_second': 0.512, 'train_loss': 0.6832165596702892, 'epoch': 1.0}
loss는 줄어든 게 보인다.
그럼 실제로 입력에 대해 출력도 알맞게 잘할까?
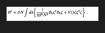
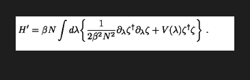
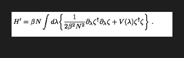
아래는 트레이닝 셋에있는 한 샘플이다.

Label 은
H ^ { \\prime } = \\beta N \\int d \\lambda \\biggl \\{ \\frac { 1 } { 2 \\beta ^ { 2 } N ^ { 2 } } \\partial _ { \\lambda } \\zeta ^ { \\dagger } \\partial _ { \\lambda } \\zeta + V ( \\lambda ) \\zeta ^ { \\dagger } \\zeta \\biggr \\} \\ .
1에폭 돌기전에는 OCR 해줘! 하면
$$\mathrm { ~ n a ~ }$$<|im_end|>
를 반환한다.
1에폭 돌고나서는
\left( \begin{array} { c c } { 1 } & { 0 } \\ { 0 } & { 1 } \\ \end{array} \right) \left( \begin{array} { c c } { 1 } & { 0 } \\ { 0 } & { 1 } \\ \end{array} \right) \left( \begin{array} { c c } { 1 } & { 0 } \\ { 0 } & { 1 } \\ \end{array} \right) \left( \begin{array}
를 반환한다.
아직 멀었다.
5에폭으로 한 번 트레이닝 시켜보고, 잘 모르는 LORA 의 r값도 16에서 32로 높여봐야겠다.
'Deep Learning' 카테고리의 다른 글
| Qwenvl2 7b 파인튜닝 실마리를 찾다!!! (3) | 2024.12.02 |
|---|---|
| unsloth/LaTeX_OCR 로 5 에폭 파인튜닝 시킨 Qwen2VL7b 또한 아쉬울 따름 (0) | 2024.12.01 |
| unsloth/LaTeX_OCR 데이터셋 주의사항...? (1) | 2024.11.30 |
| Hugging Face 이미지, 텍스트 멀티모달 OCR 데이터셋 업로드 하루종일 삽질 (3) | 2024.11.27 |
| Hugging Face Datasets 에 이미지, 텍스트 멀티모달 데이터셋을 업로드 해보"자이아파트" (2) | 2024.11.27 |
댓글
공지사항
최근에 올라온 글
최근에 달린 댓글
- Total
- Today
- Yesterday
링크
TAG
- 이분탐색
- 백트래킹
- FairMOT
- 위상 정렬 알고리즘
- 백준 11053
- 가장 긴 증가하는 부분 수열
- PyCharm
- 백준
- 인공지능을 위한 선형대수
- 백준 11437
- 문제집
- MOT
- cosine
- 자료구조
- LCA
- ㅂ
- 단축키
- 파이참
- 순열
- 조합
- 백준 1766
- Lowest Common Ancestor
- C++ Deploy
| 일 | 월 | 화 | 수 | 목 | 금 | 토 |
|---|---|---|---|---|---|---|
| 1 | 2 | 3 | 4 | 5 | 6 | 7 |
| 8 | 9 | 10 | 11 | 12 | 13 | 14 |
| 15 | 16 | 17 | 18 | 19 | 20 | 21 |
| 22 | 23 | 24 | 25 | 26 | 27 | 28 |
글 보관함

